


資産(2020年末):
14,102,406円
現在資産(210730):
16,153,117円
税引き前利益(税引後配当金と税引前貸株金利+219,490円(+1.6%)を含む、入金除く、去年末比):
+2,050,711円(+14.5%)
個別株:
16,068,500円(99.5%)
インデックス型ETF:
78,480円(0.5%)
現金:
6,137円(0.0%)
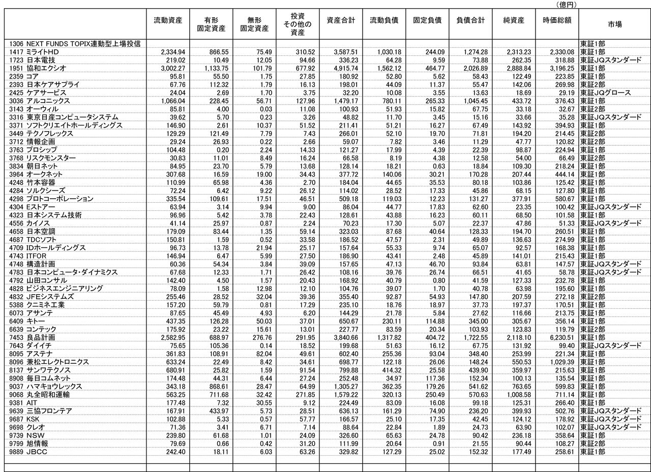
・保有株 平均取得単価×保有数
1306 NEXT FUNDS TOPIX連動型上場投信 1,969円×40口
1417 ミライトHD 1,631円×300株
1723 日本電技 3,188円×100株
1951 協和エクシオ 2,419円×200株
2359 コア 1,456円×200株
2393 日本ケアサプライ 1,601円×200株
2425 ケアサービス 743円×200株
3036 アルコニックス 1,481円×100株
3143 オーウィル 1,038円×100株
3316 東京日産コンピュータシステム 596円×100株
3371 ソフトクリエイトホールディングス 2,282円×200株
3449 テクノフレックス 1,019円×100株
3712 情報企画 2,300円×100株(NISA)+3,042円×200株
3763 プロシップ 1,358円×100株
3768 リスクモンスター 895円×200株
3834 朝日ネット 712円×100株
3964 オークネット 1,328円×100株
4248 竹本容器 993円×200株
4284 ソルクシーズ 951円×300株
4298 プロトコーポレーション 1,187円×100株
4304 Eストアー 1,786円×300株(NISA)
4323 日本システム技術 1,532円×100株
4556 カイノス 1,147円×100株
4658 日本空調 738円×800株
4687 TDCソフト 1,004円×100株
4709 IDホールディングス 833円×300株
4743 ITFOR 756円×400株
4748 構造計画研究所 2,793円×100株
4783 日本コンピュータ・ダイナミクス 668円×100株
4792 山田コンサル 1,158円×500株
4828 ビジネスエンジニアリング 3,216円×300株
4832 JFEシステムズ 1,559円×400株
5388 クニミネ工業 1,173円×100株
6073 アサンテ 1,757円×100株
6409 キトー 1,743円×100株
6639 コンテック 1,715円×200株
7453 良品計画 2,146円×200株
7643 ダイイチ 804円×100株
8095 アステナ 560円×100株
8096 兼松エレクトロニクス 3,621円×200株
8137 サンワテクノス 1,155円×200株
8908 毎日コムネット 704円×100株
9037 ハマキョウレックス 2,928円×100株
9068 丸全昭和運輸 3,223円×100株
9381 AIT 1,114円×100株
9639 三協フロンテア 3,511円×200株
9687 KSK 2,194円×100株
9698 クレオ 1,302円×700株
9739 NSW 1,931円×100株
9799 旭情報 1,052円×100株
9889 JBCC 1,319円×300株
現物購入
1306 NEXT FUNDS TOPIX連動型上場投信 40口
3768 リスクモンスター 200株 損出し
4556 カイノス 100株
7453 良品計画 200株
8095 アステナ 100株
現物売却
2425 ケアサービス 100株 損切
2735 ワッツ 100株
3371 ソフトクリエイトホールディングス 100株
3768 リスクモンスター 200株 損出し
4783 日本コンピュータ・ダイナミクス 100株 損切
7050 フロンティアインターナショナル 100株 損切
今週のトレード
今年は、コロナワクチン接種者が増加することにより、感染者が減少して、コロナ前の状況に戻っていくという年初の自分を含めた多くの人の想定とは異なり、逆に、感染者数が極端に大きく増加している。
なぜ、自分を含めた多くの人の予想通りにならなかったのか、その理由を考え、自分の想定を、コロナ前の状況に、短期的に戻るかどうかはわからない、に変更した。
以前保有していたアステナ、カイノス、NEXT FUNDS TOPIX連動型上場投信を少しだけ購入した。
はじめて良品計画を購入した。




コメント