






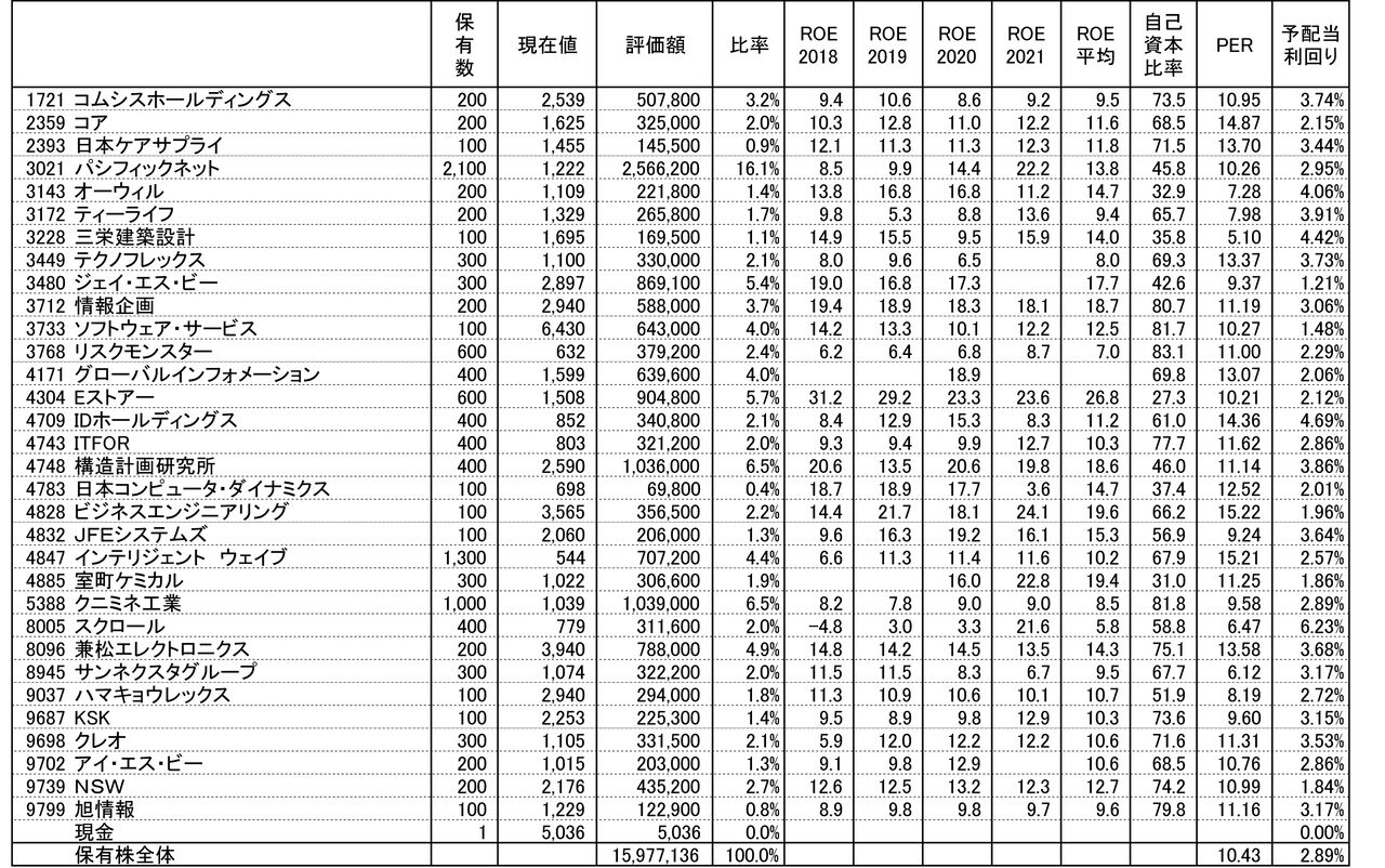
資産(2020年末):
14,102,406円
現在資産(211210):
15,977,136円
税引き前利益(税引後配当金と税引前貸株金利+332,122円(+2.4%)を含む、入金除く、去年末比):
+1,874,730円(+13.3%)
個別株:
15,972,100円(100.0%)
現金:
5,036円(0.0%)
・保有株
1721 コムシスホールディングス
2359 コア
2393 日本ケアサプライ
3021 パシフィックネット
3143 オーウィル
3172 ティーライフ
3228 三栄建築設計
3449 テクノフレックス
3480 ジェイ・エス・ビー
3712 情報企画
3733 ソフトウェア・サービス
3768 リスクモンスター
4171 グローバルインフォメーション
4304 Eストアー
4709 IDホールディングス
4743 ITFOR
4748 構造計画研究所
4783 日本コンピュータ・ダイナミクス
4828 ビジネスエンジニアリング
4832 JFEシステムズ
4847 インテリジェント ウェイブ
4885 室町ケミカル
5388 クニミネ工業
8005 スクロール
8096 兼松エレクトロニクス
8945 サンネクスタグループ
9037 ハマキョウレックス
9687 KSK
9698 クレオ
9702 アイエスビー
9739 NSW
9799 旭情報
購入
1721 コムシスホールディングス 200株 損出し
2393 日本ケアサプライ 100株 損出し
3172 ティーライフ 200株 損出し
3768 リスクモンスター 600株 損出し
4709 IDホールディングス 400株
4748 構造計画研究所 100株 損出し
4783 日本コンピュータ・ダイナミクス 100株
5388 クニミネ工業 1,000株 損出し
8005 スクロール 400株 損出し
売却
1721 コムシスホールディングス 200株 損出し
2393 日本ケアサプライ 100株 損出し
3172 ティーライフ 200株 損出し
3768 リスクモンスター 700株 損出し+損切
4304 Eストアー 100株
4743 ITFOR 200株
4748 構造計画研究所 100株 損出し
5388 クニミネ工業 1,000株 損出し
8005 スクロール 400株 損出し
今週のトレード
今週は、マザーズ指数は下落したが、TOPIXと日経平均株価は上昇した。
保有株全体の株価は、少し上昇した。
以前保有していたIDホールディングス、日本コンピュータ・ダイナミクスを少し購入した。
今週も、損出しを行った。



コメント